MedEd Journals via Neil Mehta
Journals of Medical Education
342 followers
articles/week
News
673 followers
0 articles/week
511 followers
0 articles/week
Assessment of nursing students’ readiness to end-of-life-care after 40-hours practical classes including storytelling: a quasi-experimental multi-methods pilot study
Nursing master students’ experiences of and reflections on patient safety issues – a mixed-methods study using ecological momentary assessment
Why orthopaedics and trauma surgery loses part of its future workforce – a cross-sectional study of gender differences in medical students’ specialty choice
The impact of imposter phenomenon: an unmet need in the education of healthcare personnel- a cross-sectional study
Wiley Online Library : Medical Education
615 followers
5 articles/week
Write your own exam, an intervention to demystify anatomical spotters
When structure mattered more than authorship: Lessons from developing a generative AI Tool for high‐stakes multiple‐choice question generation
The social lottery of emotional development in medical training: Why relationships determine who develops emotional competence
When I say … Simulated ‘patients’
Academic Medicine - Current Issue
FollowAcademic Medicine, a peer-reviewed monthly journal, serves as an international forum for the exchange of ideas and information about policy, issues, and research concerning academic medicine, including strengthening the quality of medical education a
Academic Medicine, a peer-reviewed monthly journal, serves as an international forum for the exchange of ideas and information about policy, issues, and research concerning academic medicine, including strengthening the quality of medical education a
439 followers
0 articles/week
Artist’s Statement: See T Scan
Expressing Our Appreciation to Our Early-Career Colleagues Entering Medicine
2025 Dr. Hope Babette Tang Humanism in Healthcare Essay Contest: First-Place Nursing Student Essay: The Heart of Hope
Commentary on “Forgotten Body in Medical Education: How Can I Heal When I Cannot Feel?”
Journal of Continuing Education in the Health Professions
FollowWiley Online Library : Journal of Continuing Education in the Health Professions
Wiley Online Library : Journal of Continuing Education in the Health Professions
373 followers
0 articles/week
Encouraging Reflection and Change in Clinical Practice: Evolution of a Tool
Using LinkedIn for Continuing Community of Practice Among Hand Surgeons Worldwide
Considering “Nonlinearity” Across the Continuum in Medical Education Assessment: Supporting Theory, Practice, and Future Research Directions
Using a Critical Incident Scenario With Virtual Humans to Assess Educational Needs of Nurses in a Postanesthesia Care Unit
Teaching and Learning in Medicine via MedWorm.com
FollowMedWorm.com provides a medical RSS filtering service. Over 6000 RSS medical sources are combined and output via different filters. This feed contains the latest items from the 'Teaching and Learning in Medicine' source.
MedWorm.com provides a medical RSS filtering service. Over 6000 RSS medical sources are combined and output via different filters. This feed contains the latest items from the 'Teaching and Learning in Medicine' source.
395 followers
0 articles/week
Programmatic Assessment of Clinical Reasoning: New Opportunities to Meet an Ongoing Challenge
Programmatic Assessment of Clinical Reasoning: New Opportunities to Meet an Ongoing Challenge
Programmatic Assessment of Clinical Reasoning: New Opportunities to Meet an Ongoing Challenge
Programmatic Assessment of Clinical Reasoning: New Opportunities to Meet an Ongoing Challenge
pubmed: "journal of graduate...
FollowNCBI: db=pubmed; Term="Journal of graduate medical education"[Journal]
NCBI: db=pubmed; Term="Journal of graduate medical education"[Journal]
474 followers
0 articles/week
To the Editor: Quantum Thinking in Medical Education-A Perspective Enriched by Jayant Narlikar's The Adventure
Round34: Attending-Moderated Tabletop Gameplay to Enhance Resident Team Dynamics During Inpatient Rounds
The CHEC IN Framework for Resident Medical Knowledge Remediation and Board Preparation
2026 ACGME Award Recipients
Wiley Online Library : The Clinical Teacher
385 followers
7 articles/week
Strategies and Educational Approaches to Colonoscopy Training: A Scoping Review
Affirming & Informed: An Interactive, Multidisciplinary Curriculum on Paediatric Gender‐Affirming Care
Implementing Team‐Based Care in an Internal Medicine Residency Continuity Clinic: 2 Years of Change
How to … Develop Effective and Engaging Medical Education Apps
Latest Results for Advances in Health Sciences Education
FollowThe latest content available from Springer
The latest content available from Springer
525 followers
7 articles/week
The integral partnership between history and medical education, in three parts
Are we empowering the students to empower the patient? Student education in person and family-centered practice: a scoping review
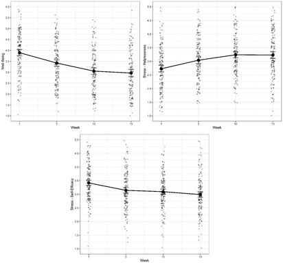
Well-being and stress in health sciences undergraduates’ workplace learning
Educating physicians to meet societal needs?: a genealogy of Canadian medical education
Informa Healthcare: Medical Teacher: Table of Contents
FollowTable of Contents for Medical Teacher. List of articles from both the latest and ahead of print issues.
Table of Contents for Medical Teacher. List of articles from both the latest and ahead of print issues.
342 followers
0 articles/week
Build your own newsfeed
Ready to give it a go?
Start a 14-day trial, no credit card required.